Rabu, 25 September 2019

Cara Mengubah Desimal Ke Persen

  • Mengubah Desimal Menjadi Persen dan Sebaliknya

    Video ini membahas tentang cara mengubah suatu bilangan/pecahan desimal menjadi bentuk persen dan sebaliknya dari persen ke desimal. Berikut link video ...
    Watch Now
  • Cara Merubah Pecahan Desimal ke Bentuk Persen

    DesimalkePersen #MerubahPecahanDesimal Cara merubah pecahan desimal atau bilangan koma menjadi bentuk persen saya jelaskan secara detail dan ...
    Watch Now
  • Mengubah Desimal Menjadi Persen (Desimal ke Persen) - Converting Decimals to Percents

    Mengubah desimal ke persen.
    Watch Now
  • Cara mengubah persen menjadi desimal

    Menjelaskan cara mengubah persen menjadi desimal dengan cara merubah penyebutnya menjadi 100.
    Watch Now
  • Mengubah Persen Menjadi Desimal (Persen ke Desimal) - Converting Percents to Decimals

    Mengubah persen ke desimal.
    Watch Now
  • Cara Merubah Pecahan Biasa Menjadi Persen dan Permil

    pecahan #merubahpecahan #persendanpermil Menjadikan bentuk pecahan biasa menjadi persen atau permil caranya mudah. Tetapi bagi sebagian anak ...
    Watch Now
  • Cara mudah Mengubah Bentuk Persen ke Desimal || Matematika Kelas 4 SD Kurikulum 13

    Cara mudah Mengubah Bentuk Persen ke Desimal. Bentuk Persen diubah ke Desimal dengan cara mengubah bentuk persen menjadi pecahan biasa, ...
    Watch Now
  • Mengubah Pecahan Desimal dan Persen - Jurus 7 Detik Matematika Paman APIQ

    Pecahan Desimal dan Pecahan Campuran Jadi Mudah dengan cara Paman APIQ ini. Pecahan biasa dan persen juga menjadi lebih dengan konsep Paman ...
    Watch Now
  • Cara Merubah Dari Pecahan Desimal Ke Pecahan Biasa dan Dari Pecahan Biasa Ke Pecahan Desimal

    pecahan #merubahpecahan Cara mudah untuk merubah bentuk dari pecahan desimal ke pecahan biasa dan dari pecahan biasa ke bentuk pecahan desimal ...
    Watch Now
  • Cara Mengubah Desimal Menjadi Pecahan

    Cara yang dapat digunakan untuk mengubah desimal menjadi pecahan.
    Watch Now
  • Mengubah Pecahan Desimal ke Bentuk Persen | Ayo Belajar


    Watch Now
  • KONSEP MUDAH DESIMAL PECAHAN PERSEN Part 1-SD SMP

    Cara Mudah belajar merubah pecahan ke desimal ke persen ke pecahan campuran dan sebaliknya merubah persen ke desimal pecahan dan campuran part 1 ...
    Watch Now
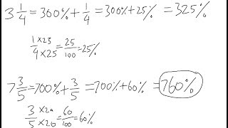
  • Mengubah Pecahan Campuran ke Biasa, Desimal, Persen Matematika Dasar SD

    MENGUBAH PECAHAN CAMPURAN ke bentuk pecahan lainnya Welcome to MathTutor Channel Indonesia Tempatnya kamu belajar matematika dengan ...
    Watch Now
  • mengubah pecahan ke bentuk persen

    mengubah pecahan ke bentuk persen dengan cara mengubah penyebut menjadi 100 video updatenya https://youtu.be/LtIWmQrvpAI.
    Watch Now
  • Mengubah Persen ke Pecahan Desimal - Trik 7 Detik APiQ

    https://play.google.com/store/apps/details?id=com.unacademyapp follow paman apiq di: https://unacademy.com/@pamanapiq-6967 bimbel gratis paman apiq ...
    Watch Now

Tidak ada komentar:

Posting Komentar